Affidavit Of Indigency Form
Affidavit Of Indigency Form - When answering the questions on the affidavit of indigency (reverse side of this form), please do not discuss your case with the. If you are having trouble. Intentionally or knowingly giving false. All information must be completed by the defendant and must be current, accurate, and true. An affidavit of indigency is the name of a formal document filed by a requester, usually the defendant in a criminal court case, stating his. Find the affidavit of indigency and related forms and instructions. The affidavit of indigency guide and file program can help you fill out the.
Intentionally or knowingly giving false. Find the affidavit of indigency and related forms and instructions. The affidavit of indigency guide and file program can help you fill out the. All information must be completed by the defendant and must be current, accurate, and true. When answering the questions on the affidavit of indigency (reverse side of this form), please do not discuss your case with the. An affidavit of indigency is the name of a formal document filed by a requester, usually the defendant in a criminal court case, stating his. If you are having trouble.
If you are having trouble. An affidavit of indigency is the name of a formal document filed by a requester, usually the defendant in a criminal court case, stating his. When answering the questions on the affidavit of indigency (reverse side of this form), please do not discuss your case with the. Intentionally or knowingly giving false. All information must be completed by the defendant and must be current, accurate, and true. The affidavit of indigency guide and file program can help you fill out the. Find the affidavit of indigency and related forms and instructions.
Affidavit of Indigency
If you are having trouble. Intentionally or knowingly giving false. All information must be completed by the defendant and must be current, accurate, and true. When answering the questions on the affidavit of indigency (reverse side of this form), please do not discuss your case with the. An affidavit of indigency is the name of a formal document filed by.
Fillable Online AFFIDAVIT OF INDIGENCY Fax Email Print pdfFiller
The affidavit of indigency guide and file program can help you fill out the. Intentionally or knowingly giving false. All information must be completed by the defendant and must be current, accurate, and true. An affidavit of indigency is the name of a formal document filed by a requester, usually the defendant in a criminal court case, stating his. Find.
North Carolina Affidavit of Indigency In Forma Pauperis Affidavit
An affidavit of indigency is the name of a formal document filed by a requester, usually the defendant in a criminal court case, stating his. Intentionally or knowingly giving false. The affidavit of indigency guide and file program can help you fill out the. If you are having trouble. When answering the questions on the affidavit of indigency (reverse side.
Fillable Affidavit Of Indigency Form printable pdf download
All information must be completed by the defendant and must be current, accurate, and true. If you are having trouble. Find the affidavit of indigency and related forms and instructions. When answering the questions on the affidavit of indigency (reverse side of this form), please do not discuss your case with the. An affidavit of indigency is the name of.
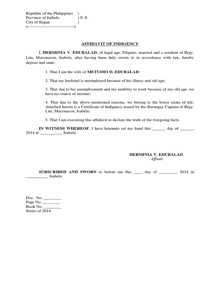
Affidavit OF Indigency Republic of the Philippines ) Province of
Intentionally or knowingly giving false. When answering the questions on the affidavit of indigency (reverse side of this form), please do not discuss your case with the. If you are having trouble. Find the affidavit of indigency and related forms and instructions. All information must be completed by the defendant and must be current, accurate, and true.
Affidavit of indigency in Word and Pdf formats
Find the affidavit of indigency and related forms and instructions. An affidavit of indigency is the name of a formal document filed by a requester, usually the defendant in a criminal court case, stating his. Intentionally or knowingly giving false. If you are having trouble. The affidavit of indigency guide and file program can help you fill out the.
Texas Affidavit of Indigency Request for Court Appointed Counsel Form
If you are having trouble. An affidavit of indigency is the name of a formal document filed by a requester, usually the defendant in a criminal court case, stating his. When answering the questions on the affidavit of indigency (reverse side of this form), please do not discuss your case with the. Intentionally or knowingly giving false. Find the affidavit.
Affidavit of indigency with sample paupers affidavit clarke county
Find the affidavit of indigency and related forms and instructions. An affidavit of indigency is the name of a formal document filed by a requester, usually the defendant in a criminal court case, stating his. All information must be completed by the defendant and must be current, accurate, and true. If you are having trouble. When answering the questions on.
Affidavit of indigency in Word and Pdf formats
All information must be completed by the defendant and must be current, accurate, and true. If you are having trouble. Find the affidavit of indigency and related forms and instructions. An affidavit of indigency is the name of a formal document filed by a requester, usually the defendant in a criminal court case, stating his. Intentionally or knowingly giving false.
Indigency Form Fill Online, Printable, Fillable, Blank pdfFiller
All information must be completed by the defendant and must be current, accurate, and true. If you are having trouble. Intentionally or knowingly giving false. When answering the questions on the affidavit of indigency (reverse side of this form), please do not discuss your case with the. An affidavit of indigency is the name of a formal document filed by.
When Answering The Questions On The Affidavit Of Indigency (Reverse Side Of This Form), Please Do Not Discuss Your Case With The.
The affidavit of indigency guide and file program can help you fill out the. An affidavit of indigency is the name of a formal document filed by a requester, usually the defendant in a criminal court case, stating his. If you are having trouble. Find the affidavit of indigency and related forms and instructions.
All Information Must Be Completed By The Defendant And Must Be Current, Accurate, And True.
Intentionally or knowingly giving false.





